热门关键词好会计 好业财 T+ 易代账 好生意 用友U8 用友BIP

    详细信息

    您现在的位置:网站首页 >> 百科问答 >> 详细信息

    T6-企业管理软件(All-in-One)V6.0的操作流程

    特价活动:>>>> 畅云管家新购、续费8折优惠,畅捷通T+cloud、好会计、易代账、好业财、好生意云产品8折优惠 

    6.10.3 操作流程

    第一次使用财务分析时,使用次序如图所示:





    操作步骤:
    1.系统初始:录入预算数据。
    2.进行指标分析、报表分析、预算管理、现金收支、因素分析。


    6.11 出纳管理

    6.11.1 系统介绍


    T6-企业管理软件中出纳管理不仅有种强势功能,包括精准打印各类票据,票据模板设计、批量套打、智能化录入、支票簿管理、数据查询功能以及账务处理功能,并且根据用户的使用习惯以及切实需求,使界面操作更具灵活性,实现对各类票据的全面管理,并且在财务处理方面也更具完善,满足出纳人员与会计人员对账的工作需要。除此以外,T6-企业管理软件出纳管理开放的数据接口,可以与 T6-企业管理软件实现基础档案的直接引入,减轻了工作强度。另外,该软件对所有针式、激光、喷墨打印机均具有良好的兼容性,只需根据需打印的票据类型选用一台已有打印机即可轻松实现打印。


    6.11.2 与其他产品关系

    出纳管理系统既可单独使用,也可与总账系统连接使用,现金日记账和银行存款日记账可以生成凭证传递到总账系统,也可引入总账系统凭证到出纳管理系统。


    6.11.3 操作流程

    出纳管理系统操作流程如下图:





    操作步骤:
    1.建立现金、银行存款会计科目,录入初始余额和未达账项
    2.日常业务中录入现金日记账、银行存款日记账,并对日记账生成凭证传递到总账系统。
    3.银行存款日记账与银行对账单勾对,显示未达账项
    4.月末结账


    6.12 管理报表

    6.12.1 系统介绍


    管理报表,对日常业务数据整理提炼,提供挖掘管理信息,提升管理,图形并茂。

     资金预测,预测企业一段期间资金预计流入、预计流出情况;估计和测算扩展业务所需追加的资金。
     应收款分析,对往来账款进行综合管理,及时、准确地提供客户的往来账款余额资料,分析超账期、账期内应收款分布、应收款回笼速度 。
     销售毛利分析,按产品、客户、业务员分析毛利率;通过毛利率与效率矩阵图,帮您挖掘高回报率产品。
     库存资金占用分析,分析库存资金占用情况,库存资金周转速度。
     费用分析,对费用项目,多维度、多角度深度剖析。
     盈亏预测,根据预计达到的目标利润整体预测,然后分解到各产品推算达到目标利润,预计实现的目标销量及保本销量。


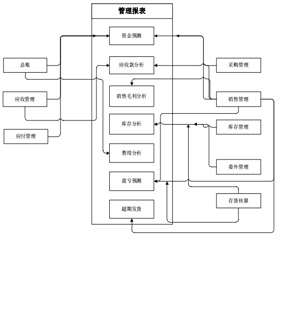
    6.12.2 与其他产品关系

    管理报表,不能单独运行,需要与其他模块同时使用才能使用,根据其他模块传递的日常业务数据,综合分析,挖掘管理信息。
    下图描述了管理报表与其他模块的关系:






     

     

    上一篇:畅捷通t6系列7.1现金流量表

    客服电话:400-665-0028

    关键字:用友财务软件,畅捷通软件,财务软件,进销存软件,U9官网,用友U8,用友T1,用友T+,用友T3,用友T6,畅捷通好会计,好生意,智+好业财,用友培训服务售后公司,畅捷通运营培训服务公司

    版权所有:用友畅捷通软件 Copyright © 2026 All rights reserved.

    鲁ICP备2020041017号-6